DK-Spec Registry

Benutzeravatar
Janto
JZA80 Neuling
JZA80 Neuling
Beiträge: 129
Registriert: 16.02.2017, 19:38
Hat sich bedankt: 0
Danksagung erhalten: 0

DK-Spec Registry

Beitrag von Janto »

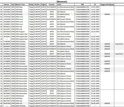
Liebe Statistikfreunde :D ,

da ja viele Spekulationen über die Verkaufszahlen in Dänemark herrschen, habe mir mal die Zeit genommen und die 907 LHD EU-Fahrzeuge mit Dänischer Zulassung zusammengestellt. Hierbei sind erstmal alle Fahrzeuge die Online zu finden sind und dort (vermutlich ab 2005) an-/abgemeldet wurden. Werde dahingehend noch weiter nachforschen ob dort auch die vorher angemeldeten berücksichtigt werden.

Weiterhin werde ich über den Vorbesitzer versuchen die VIN's von Toyota Dänemark prüfen zu lassen, ob die Erstzulassung dort erfolgte. Ein Indiz ist die Typgenehmigungsnummer die bei 11 Fahrzeugen mit aufgeführt ist. Aktuell gehe ich davon aus das es sich dabei um 11 Dänische Erstzulassungen handelt (ggf. noch mehr vor der Digitalisierung) und die anderen 30 Fahrzeuge Importe sind.
Dänemark Supra.jpg
Benutzeravatar
Ijsbrand
JZA80 Boardveteran
JZA80 Boardveteran
Beiträge: 1021
Registriert: 24.11.2016, 06:39
Hat sich bedankt: 0
Danksagung erhalten: 0
Kontaktdaten:

Re: DK-Spec Registry

Beitrag von Ijsbrand »

Geile Sache. Ich bin gespannt
94`J-spec, NA, MT
Benutzeravatar
ANKRacing
Treffen Organisation
Treffen Organisation
Beiträge: 1996
Registriert: 12.10.2016, 14:03
Hat sich bedankt: 17 Mal
Danksagung erhalten: 24 Mal

Re: DK-Spec Registry

Beitrag von ANKRacing »

Gutes Thema, ich bin ebenfalls gespannt! :)
Benutzeravatar
kingschnitte
JZA80 Boardveteran
JZA80 Boardveteran
Beiträge: 1197
Registriert: 12.10.2016, 14:39
Hat sich bedankt: 4 Mal
Danksagung erhalten: 2 Mal

Re: DK-Spec Registry

Beitrag von kingschnitte »

Meine ist im übrigen auch mal in Dänemark gelaufen, aber DE-Spec mit EZ in D.
Die sollte auch nach 2005 nach DK gekommen sein und ist seit 201X wieder zurück in D.
1995er LHD TT AT - EU-Spec - OEM shit
Benutzeravatar
Janto
JZA80 Neuling
JZA80 Neuling
Beiträge: 129
Registriert: 16.02.2017, 19:38
Hat sich bedankt: 0
Danksagung erhalten: 0

Re: DK-Spec Registry

Beitrag von Janto »

Dann müsste die auch mit in der Liste stehen
Benutzeravatar
Japanfanatic
JZA80 allwissendes Orakel
JZA80 allwissendes Orakel
Beiträge: 2694
Registriert: 12.10.2016, 18:49
Hat sich bedankt: 17 Mal
Danksagung erhalten: 59 Mal
Kontaktdaten:

Re: DK-Spec Registry

Beitrag von Japanfanatic »

Irgendwie wird die Liste nicht mehr in deinem Beitrag angezeigt, Janto?!
Bj. 12/2000 Supra RZ - Japanische Ausführung
1B9 - Quicksilver FX - Silver Metallic Graphite

Public Relations e.V.
Benutzeravatar
JackEnox
JZA80 Halbgott
JZA80 Halbgott
Beiträge: 1979
Registriert: 12.10.2016, 13:24
Hat sich bedankt: 12 Mal
Danksagung erhalten: 5 Mal
Kontaktdaten:

DK-Spec Registry

Beitrag von JackEnox »

Japanfanatic hat geschrieben:Irgendwie wird die Liste nicht mehr in deinem Beitrag angezeigt, Janto?!
Jetzt geht's. Der Dateianhang war nicht in den Beitrag eingefügt. Die App stellt das automatisch dar, die Webversion vom Forum nicht. ;)
1996er LHD TT AT - EU-Spec - BPU++
Bild
Benutzeravatar
Janto
JZA80 Neuling
JZA80 Neuling
Beiträge: 129
Registriert: 16.02.2017, 19:38
Hat sich bedankt: 0
Danksagung erhalten: 0

Re: DK-Spec Registry

Beitrag von Janto »

Mhm, hab das sogar am Laptop eingestellt, wo war der Fehler
Benutzeravatar
ANKRacing
Treffen Organisation
Treffen Organisation
Beiträge: 1996
Registriert: 12.10.2016, 14:03
Hat sich bedankt: 17 Mal
Danksagung erhalten: 24 Mal

Re: DK-Spec Registry

Beitrag von ANKRacing »

Ahhh, ich hatte die Liste vorher am PC nicht gesehen. Jetzt macht das Sinn.

Geil, sogar Z W E I Supras in 040 dabei, eine davon sogar 6Gang!

@Janto dein Auto lässt sich ja anhand der Liste recht leicht identifizieren, sofern die FIN passt. :)
Benutzeravatar
Japanfanatic
JZA80 allwissendes Orakel
JZA80 allwissendes Orakel
Beiträge: 2694
Registriert: 12.10.2016, 18:49
Hat sich bedankt: 17 Mal
Danksagung erhalten: 59 Mal
Kontaktdaten:

Re: DK-Spec Registry

Beitrag von Japanfanatic »

Eine 040 in DK ist mir bekannt. Ich suche mal das Kennzeichen raus
Bj. 12/2000 Supra RZ - Japanische Ausführung
1B9 - Quicksilver FX - Silver Metallic Graphite

Public Relations e.V.
Antworten